Perhatikan pernyataan-pernyataan di bawah ini :
Dari pernyataan-pernyataan di atas, manakah pernyataan yang benar?
Usaha merupakan perkalian antara gaya dan perpindahan, jadi syarat agar usaha memiliki nilai adalah benda tersebut harus mengalami perpindahan.
Seorang polisi berdiri pada jarak 180 m menghadap sebuah gedung tinggi. Ketika polisi menembakkan sebutir peluru ke atas, seorang anak yang berada pada jarak 170 m di belakang polisi mendengar dua letupan. Jika selang waktu antara dua letupan tersebut 1 detik, maka kecepatan bunyi letupan di udara adalah ...
S = v * t
170 = v * t
530 = v * (t + 1)
------------------------- :
170/530 = t/(t + 1)
530t = 170t +170
360t = 170
---> t = 170/360 = 0,47 sekon
--> 170 = v * 0,47
v = 170/0,47 = 361,70 m/s
Perhatikan pernyataan-pernyataan di bawah ini :
Dari pernyataan-pernyataan di atas, manakah pernyataan yang benar?
Persamaan untuk frekuensi yang sampai pada pendengar adalah :

Dengan kesepakatan tanda :
± pada vp
+vp pendengar mendekati sumber
– vp pendengar menjauhi sumber
± pada vs
+vs sumber menjauhi pendengar
– vs sumber mendekati pendengar
(1) Frekuensi bunyi dari suatu sumber bunyi oleh seorang pendengar akan terdengar bertambah jika sumber bunyi mendekati pendengar dan pendengar diam.
Jika sumber bunyi mendekati pendengar maka kecepatannya bernilai negatif, sehingga frekuensi bertambah, pernyataan (1) benar.
(2) Frekuensi bunyi dari suatu sumber bunyi oleh seorang pendengar akan terdengar bertambah jika sumber diam dan pendengar mendekati sumber.
Jika pendengar mendekati sumber maka kecepatannya bernilai positif, sehingga frekuensi bertambah, pernyataan (2) benar.
(3) Frekuensi bunyi dari suatu sumber bunyi oleh seorang pendengar akan terdengar berkurang jika pendengar diam dan sumber bergerak menjauhi pendengar.
Jika sumber bunyi bergerak menjauhi pendengar, maka kecepatannya bernilai positif sehingga frekuensi berkurang, pernyataan (3) benar.
(4) Frekuensi bunyi dari suatu sumber bunyi oleh seorang pendengar akan terdengar berkurang jika sumber bunyi dan pendengar diam.
Jika sumber bunyi dan pendengar diam, maka nilai frekuensi yang didengar oleh pendengar tetap, pernyataan (4) salah.
Perhatikan gambar di bawah ini!

Jika kuat medan magnet di titik P besarnya B. Maka, kuat medan magnet pada titik Q adalah ....
Kuat medan magnet (B) dirumuskan dengan:

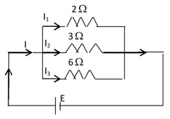
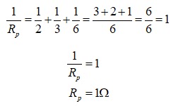
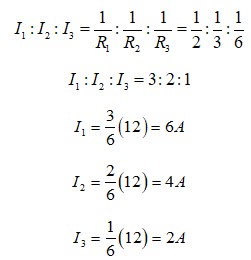
Perhatikan gambar di bawah ini!

Berdasarkan gambar di atas, jika besar tegangan listrik adalah 12 V, maka urutan nilai kuat arus yang tepat dari kecil ke besar adalah ....
Rangkaian pengganti paralel:

Kuat arus listrik total (I):

Perbandingan kuat arus

Maka, urutan kuat arus yang tepat adalah I3, I2, kemudian I1.
Catatan: Besar kuat arus pada rangkaian paralel sebanding dengan hambatannya, jadi kalau ingin menentukan yang terbesar cukup ambil nilai kuat arus pada hambatannya terkecil.





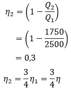
Efisiensi mesin pertama:

Efisiensi mesin kedua:






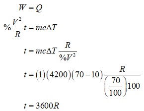
Hubungan antara energi listrik dan kalor adalah:

Jika kalor yang diambil 80%-nya, maka waktunya:







Soal ini dapat diselesaikan dengan menggunakan konsep usaha-energi. Dalam soal ini gaya F yang diberikan akan membuat benda berpindah sejauh s. Selama benda berpindah maka kelajuan benda bergerak juga ikut berubah sehingga besarnya usaha akibat gaya sama dengan perubahan energi kinetik benda. Berlaku persamaan :

Pada eksperimen pertama :

Pada eksperimen kedua :

Didapatkan kesimpulan bahwa :

Jadi, pada ekseperimen kedua siswa tersebut mempecepat benda dari kelajuan v menjadi 2v.
Perhatikan gambar di bawah ini!

Ketiga bentuk lintasan bola memiliki tinggi maksimum sama yakni h. Bentuk lintasan bola yang memiliki waktu terlama di udara adalah....
Ketinggian maksimum pada gerak parabola dirumuskan :

Karena percepatan gravitasi dan ketinggian maksimum sama untuk semua kondisi maka :
v0 sin α (sama untuk semua kondisi)
Waktu bola melayang di udara (mencapai jarak maksimum) dirumuskan :

Dari persamaan ini didapatkan hasil bahwa waktu bola terlama di udara tidak dipengaruhi oleh bentuk lintasan bola.
Perhatikan pernyataan-pernyataan di bawah ini!
Dari pernyataan-pernyataan di atas, pernyataan yang benar ditunjukkan oleh nomor....
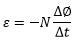
Berdasarkan Hukum Faraday :

Dengan:
![]()
Keterangan :
Berdasarkan persamaan di atas maka dapat dipastikan bahwa semua pernyataan adalah benar.
Pernyataan (1) benar karena semakin cepat magnet digerakkan keluar masuk kumparan perubahan fluks magnetik per satuan waktu juga akan menjadi besar yang menyebabkan tegangan induksi besar. Apabila tegangan induksinya membesar, maka arus induksi yang timbul juga pasti membesar.
10
12
16
24
36

Perbesaran mikroskop untuk mata tidak berakomodasi:


Sebuah alat pemanas yang baik seharusnya memiliki ...
Elemen pemanas adalah alat yang mengubah energi listrik menjadi energi panas. Elemen pemanas harus terbuat dari bahan yang mempunyai konduktivitas kalor yang tinggi, sementara nilai konduktivitas kalor suatu bahan menunjukkan kemampuan bahan menghantarkan panas. Benda yang memiliki konduktivitas kalor besar merupakan penghantar kalor yang baik (konduktor termal yang baik), berlaku sebaliknya. Sedangkan kalor jenis menunjukkan kalor yang dibutuhkan oleh suatu bahan untuk menaikkan suhu badan tersebut. Maka elemen pemanas harus mempunyai nilai kalor jenis yang rendah. Elemen pemanas harus terbuat dari bahan yang mempunyai tahanan tinggi, sehingga listrik yang mengalir melalui bahan tersebut berubah menjadi panas.
Jadi pernyataan 1,2,3 dan 4 benar.
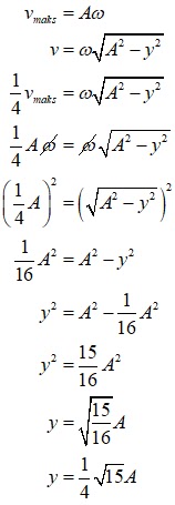
x= 50 cm
v = 30 cm/s
T= 5 s
Fase = 3/4
Maka :

(2) Beda fase

(3) fase B= fase A+ Δfase
(4) simpangan di titik B

Jadi, pernyataan (1), (2), dan (3) benar.
Apabila cahaya ultra ungu menyinari potasium, elektron akan terpancar dari permukaan logam tersebut. Dalam peristiwa ini ...
semua elektron yang terpancar mempunyai energi sama dengan energi partikel cahaya.
energi partikel cahaya sebanding dengan frekuensi cahaya.
peristiwa di atas berlaku untuk semua warna cahaya.
energi kinetik maksimum elektron yang terpancar lebih kecil dari energi partikel cahaya.
-
Dua buah pulsa identik bergerak dengan arah berlawanan pada seutas tali. Semua parameter gelombang sama kecuali satu pulsa mempunyai pergeseran simpangan positif dan satunya negatif. Pada saat dan setelah kedua pulsa bertemu seluruhnya, pernyataan yang benar adalah ....
energi kedua pulsa tersebut lenyap
materi tali tidak berpindah
kedua pulsa saling terpantul
kecepatan masing-masing pulsa tidak berubah
1) sifat destruktif, maka energinya hilang;
2) materi tidak berpindah;
3) Kedua pulsa saling terpantul;
4) Kecepatan masing-masing pulsa tetap.
Cahaya akan dibelokkan jika merambat melalui dua zat yang kerapatannya berbeda, namun cahaya tidak akan dibelokkan apabila sinar datang tegak lurus dengan bidang permukaan
. Cahaya yang datang dari zat yang mediumnya kurang rapat menuju ke zat yang mediumnya lebih rapat akan dibelokkan mendekati garis normal.
Pernyataan salah, alasan salah.
Pernyataan pertama dan kedua benar, tetapi tidak memiliki hubungan sebab akibat.